Shandong, China
Shandong, China
Send Email
Hydroxypropyl Methyl Cellulose / CAS 9004-65-3
OVERVIEW
Packaging
| Pallets Packing | 20'FCL | 40'FCL | ||
| With | Without | With | Without | |
|
25 KG/Woven Bag
Gel temperature 60℃
|
9 MT
|
--
|
--
|
--
|
|
25 KG/Woven Bag
Viscosity 50
|
9 MT
|
--
|
--
|
--
|
Lead Time
In Stock
Max Capacity
300 MT/Year
REQUEST A QUOTATION
SubmitDESCRIPTION
Hydroxy Propyl Methyl Cellulose(HPMC)
Product Introduction:
HPMCis a nonionic,water soluble cellulose ether.lt is widely used as thickener, protective colloid, stabilizer, suspending aids and water-retention agents in many industrial applications.
Types and specifications:
Appearance: whitish powder
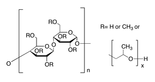
Structure:

Teclinical index:
Item | Index |
Methoxyl Content,% | 19.0-30.0 |
Hydioxypropyl Content,% | 4.0-12.0 |
Gelation Temperature, °C | 58.0-90.0 |
Moisture,% | Max 5.0 |
Ash,% | Max 5.0 |
PH | 6.5-8.0 |
The standard method fbr the viscosity measurement of aqueous solutions prescribes the use of the Brookfield RVT or DNJ-1, at 20 °C . Solution concentiation of 2% is based on bone-diy material.
Application of mellutel:
Tlie application includes but is not limited to the following fields:
Tile Adliesive
Tile gioutjoints and Crack Fillers
Gypsum Manual Plaster
Exterior Insulation and Finish System(EIFS)‘
Skim Coat Manual Plaster
Self-leveling Compound
Detergent
Water-borne paint
Typical Properties
Auxiliary > Textile Auxiliaries
Food(Feed) Additives > Thickening Agent
GET SAMPLE
Submit- Overview
- Documents
- Descriptions
- Sample