On Chemball
My Chemball
+86-571-8627 3270
Zouping Dongfang Chemical Industry Co.,Ltd.
Zouping Dongfang Chemical Industry Co.,Ltd.
Main Products:
Etidronic Acid / (Nitrilotris(Methylene))Triphosphonic Acid / Diethylenetriamine Pentamethylene Phosphonic acid / 2-Phosphonobutane-1,2,4-Tricarboxylic Acid / Etidronate Disodium / Tetrasodium Etidronate
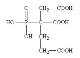
2-Phosphonobutane -1,2,4-Tricarboxylic Acid / CAS 37971-36-1
- Overview
- Descriptions
- Sample

