Diethylene Triamine Penta (Methylene Phosphonic Acid)
Product Description:
DTPMPA is an excellent scale and corrosion inhibitor, as well as an excellent metal ion chelating agent, which can inhibit the formation of carbonate and sulfate scales. It has better scale and corrosion inhibition performance than other organic phosphorus water treatment agents in alkaline environment and high temperature (above 210 ℃).
CAS: 15827-60-8
Alias: Diethylenetriamine Pentamethylene Phosphonic acid
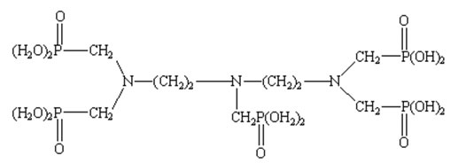
MF: C9H28N3O15P5
MW: 573.19
Structure: 
Product Performance:
DTPMPA has excellent scale and corrosion inhibition effects and good temperature resistance. It is easily soluble in acidic solutions and can inhibit the formation of carbonate and sulfate scales. It has better scale and corrosion inhibition performance than other organic phosphorus water treatment agents in alkaline environment and high temperature (above 210 ℃).
Specification

Applications
DTPMPA is used as scale and corrosion inhibitor for industrial circulating cooling water in water treatment, especially for alkaline circulating cooling water as scale and corrosion inhibitor without pH adjustment, as well as for oilfield water injection, cooling water and boiler water with high barium carbonate content; When the product is used alone in the compound medicament, no dispersant is needed, and the amount of dirt deposition is still small.
DTPMPA can be used as peroxide stabilizer, metal ion chelating agent for textile printing and dyeing, pigment dispersant, oxygen delignification stabilizer, trace element carrier in fertilizer, and concrete additive. In addition, it is also widely used in papermaking, electroplating, metal pickling and cosmetics. DTPMPA can also be used as stabilizer of oxidizing bactericide.
Packaging and storage
This product is packed in plastic drums, 30Kg per barrel or as required by the user. Store in a cool indoor place for ten months.
Safety Protection
DTPMPA is acidic. Avoid contact with eyes and skin. Once it is splashed on the body, wash it with plenty of water immediately.
This product is used as raw material for the synthesis of antibiotics in medicine, herbicides in pesticide industry and organic chlorides. It is suitable for alkaline circulating cooling water as scale and corrosion inhibitor without adjusting pH value, and can be used for oilfield water injection and cooling water with high barium carbonate content.
IUPAC
[bis[2-[bis(phosphonomethyl)amino]ethyl]amino]methylphosphonic acid
SMILES
C(CN(CP(=O)(O)O)CP(=O)(O)O)N(CCN(CP(=O)(O)O)CP(=O)(O)O)CP(=O)(O)O