On Chemball
My Chemball
+86-571-8627 3270
Huzhou City Linghu Xinwang Chemical Co., Ltd.
Huzhou City Linghu Xinwang Chemical Co., Ltd.
Main Products:
Microcrystalline Cellulose / Stearic Acid / Calcium Stearate / Magnesium Stearate / Sodium Stearate / Potassium Stearate / Calcium Acetylacetonate / Zinc(Ii) Acetylacetonate / Lauric Acid Sodium Salt / Zinc Laurate
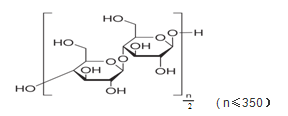
Food Additive Series Microcrystalline Cellulose PH-102
Medicinal Materials Series - Microcrystalline Cellulose PH-102
Food Additive Series - Stearic Acid
Food Additive Series - Calcium Stearate
Food Additive Series - Magnesium Stearate
Food Additive Series - Sodium Stearate
Food Additive Series - Potassium Stearate
Nontoxic Plastic Additive Series-Calcium Acetylacetonate
Nontoxic Plastic Additive Series-Zinc Acetylacetonate
Cosmetics Accessories Series-Sodium Laurate
Cosmetics Accessories Series-Zinc Laurate
Medicinal Materials Series - Microcrystalline Cellulose PH-102 / CAS 9004-34-6
- Overview
- Descriptions
- Sample
