Product introduction:
Methyl chloroformate is used as an intermediate in organic synthesis. In the pesticide industry, it is used to prepare herbicide metronidazole and bactericide carbendazim. It is also a raw material and tear inducing agent for pharmacy.
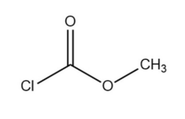
CAS:79-22-1
Molecular formula: C2H3ClO2
Molecular weight: 94.497
Structural type: 
Appearance: Colorless transparent liquid with pungent smell, highly toxic, insoluble in water, soluble in benzene, methanol, ether, ethanol and other organic solvents.