On Chemball
My Chemball
+86-571-8627 3270
Hangzhou HETA Pharm & Chem Co., Ltd.
Hangzhou HETA Pharm & Chem Co., Ltd.
Main Products:
(7a,17b)-7-[9-[(4,4,5,5,5-Pentafluoropentyl)Thio]Nonyl]-Estra-1,3,5(10)-Triene-3,17-Diol / (7a,17b)-7-(9-((4,4,5,5,5-Pentafluoropentyl)thio)Nonyl)-Estra-1,3,5(10)-Triene-3,17-diol 17-Acetate / (7a,17b)-7-(9-Bromononyl)Estra-1,3,5(10)-Triene-3,17-diol / (7a,17b)-7-(9-Bromononyl)-Estra-1,3,5(10)-Triene-3,17-diol 17-Acetate / Fulvestrant / Anastrozole / 3,5-Bis(2-Cyanoprop-2-yl)Toluene / 3,5-Bis(2-Cyanoprop-2-yl)Benzyl Bromide / Granisetron Hydrochloride / Entecavir / Baloxavir Marboxil
(7a,17b)-7-[9-[(4,4,5,5,5-Pentafluoropentyl)Thio]Nonyl]-Estra-1,3,5(10)-Triene-3,17-Diol
(7α,17β)-7-[9-(4,4,5,5,5-Pentafluoropentyl)thio]Nonyl]Estra-1,3,5(10)-Triene-3-diol-17Oxyethyl
(7a,17b)-7-(9-Bromononyl)Estra-1,3,5(10)-Triene-3,17-diol
(7a,17b)-7-(9-Bromononyl)-Estra-1,3,5(10)-Triene-3,17-diol 17-Acetate
Fulvestrant
Anastrozole
2,2-(5-Methyl-1,3-Phenylene)-Bis-(2-Methyl-Propionitrile)
3,5-Bis(1-cyano-1-methylethyl)Bromomethyl Benzene
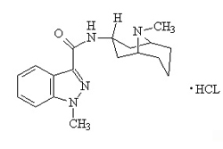
Granisetron Hydrochloride
Entecavir Monohydrate
Baloxavir Marboxil
Granisetron Hydrochloride / CAS 107007-99-8
- Overview
- Descriptions
- Sample
