Chinese Name: clothianidin
Foreign name: clothianidin
Chemical formula: c6h8cln5o2s
MW: 249.7
CAS accession number: 210880-92-5
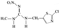
Structural formula:
Clothianidin, a novel insecticide of the neonicotinoid class, is a highly potent and safe and highly selective agent that acts similarly to nicotinic acetylcholine receptors and has haptotactic, gastrotoxic and endotoxic activities.
Scope and characteristics:
Insecticides mainly used for controlling Hemiptera, Coleoptera, Diptera and some lepidopteran pests such as aphids, cicada, thrips and planthoppers on rice, vegetables, fruit trees and other crops are highly effective, broad spectrum, less used, less toxic, long duration of drug efficacy, no drug damage to the crop, safe use and no interactive resistance with conventional pesticides, With superior internal absorption and penetration, it is another variety to replace highly toxic organophosphorus pesticides. Its structure is novel and specific, and its properties are superior compared to those of traditional nicotinic insecticides, which have the potential to become a cosmopolitan variety of large insecticides.
Clothianidin is a new nicotine insecticide with high efficiency and low toxicity. It has contact, stomach toxicity and inhaling activities. It is mainly used to control Hemiptera, Coleoptera, Diptera and some Lepidoptera pests such as aphids, leafhoppers, thrips and planthoppers on rice, vegetables, fruit trees and other crops. It has the advantages of high efficiency, broad spectrum, low dosage, low toxicity, long duration of efficacy, no drug damage to crops, safe use, no cross resistance with conventional pesticides, etc, It has excellent internal absorption and penetration.
IUPAC
1-[(2-chloro-1,3-thiazol-5-yl)methyl]-3-methyl-2-nitroguanidine
SMILES
CNC(=N[N+](=O)[O-])NCC1=CN=C(S1)Cl