On Chemball
My Chemball
+86-571-8627 3270
Nantong Jinghua Pharmaceutical Co.,Ltd.
Nantong Jinghua Pharmaceutical Co.,Ltd.
Main Products:
Phenobarbital / Primidone###Primidone / Phenylbutazone / Fluorouracil / Flucytosine / Propylthiouracil / Piroxicam / Tenoxicam / Azelaic Acid
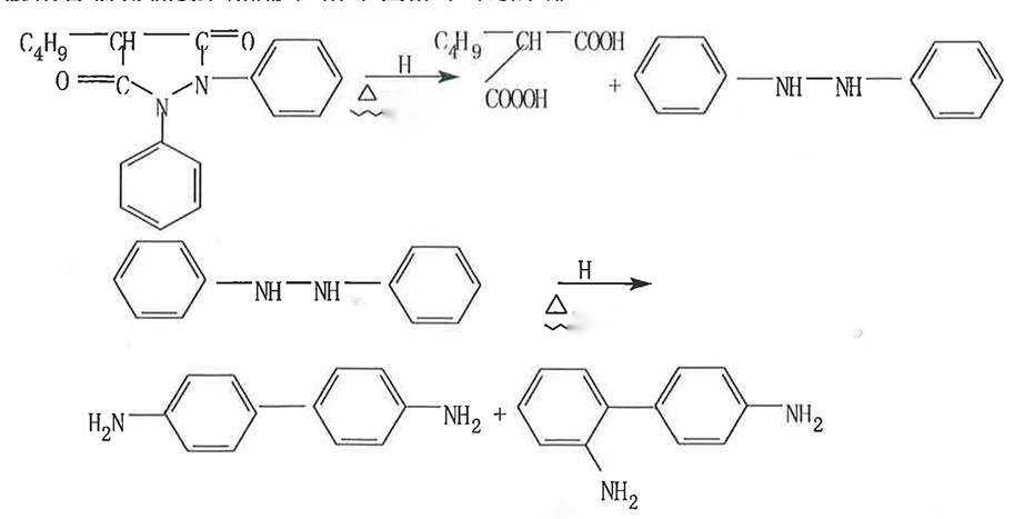
Phenylbutazone / CAS 50-33-9
- Overview
- Descriptions
- Sample

