On Chemball
My Chemball
+86-571-8627 3270
Willing New Materials Technology Co., Ltd.
Willing New Materials Technology Co., Ltd.
Main Products:
2-Mercaptobenzothiazole / 2,2'-Dithiobisbenzothiazole / Zinc 2-Mercaptobenzothiazole / N,N'-Diethylthiocarbamoyl-2-Mercaptobenzothiazole / 2-(4'-Morpholinodithio) Benzothiazole / Benzothiazole / 3-Methyl-1,3-Thiazolidine-2-Thione / N-Cyclohexyl-2-Benzothiazolesulfenamide / N-Tert-Butyl-2-Benzothiazolesulfenamide / Thiram / Tetrabenzylthiuram Disulfide / Dithiocaprolactame
Rubber Accelerator MBT(M)
Rubber Accelerator MBTS(DM)
Rubber Accelerator ZMBT(MZ)
Thiazoles Rubber Accelerator 64#
Rubber Accelerator MDB
Intermediates BT
Rubber Accelerator MTT
Rubber Accelerator CBS(CZ)
Rubber Accelerator TBBS(NS)
Rubber Accelerator TMTD (TT)
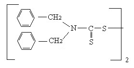
Rubber Accelerator TBzTD
Vulcanizing Agent DTDC(CLD)
Rubber Accelerator TBzTD / CAS 10591-85-2
- Overview
- Descriptions
- Sample
