Specification of L-Ergothioneine (EGT) (CAS 497-30-3)
Item | Specification | Result |
Appearance | Off white to white fine powder | Conforms |
Identification | Positive | Conforms |
Assay(on dried basis) | ≥99.0% | 99.50% |
Loss on Drying | ≤ 1.0% | 0.14% |
Residue on ignition | ≤5% | 0.28% |
Heavy metals | ≤ 10 ppm | Conforms |
Arsenic | ≤ 2 ppm | Conforms |
Lead | ≤ 1 ppm | Conforms |
Mercury | ≤ 2 ppm | Conforms |
Total bacterial count | ≤ 10,000 CFU/g | Conforms |
Mold & Yeast | ≤300 CFU/g | Conforms |
Escherichia coli | Absent | ND |
Staphylococcus aureus | Absent | ND |
Salmonella | Absent | ND |
Pseudomnas aeruginosa | Absent | ND |

Description of L-Ergothioneine (EGT) (CAS 497-30-3)
L-Ergothioneine is a rare natural chiral amino acid derivative.
In 1909, Charles Tanret, while studying the ergot fungus that destroys rye grains, isolated a unique crystalline sulfur-containing compound, and subsequently named this water-soluble thiol l-ergothioneine after the ergot fungus.

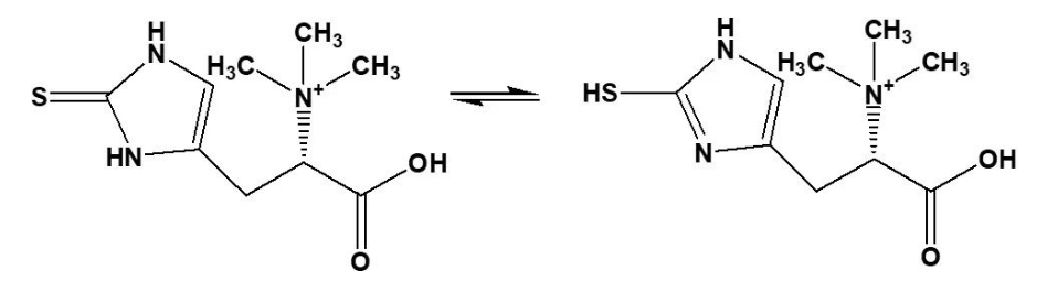
In the dissolved state, l-ergothioneine exists in the form of tautomer between its two structures, thione and thiol; while at physiological pH, l-ergothioneine mainly exists in the form of thione, so it will only react with some sulfhydryl reagents. Additionally, the standard redox potential of thiol-disulfides is 0.06 volts, while the redox potentials of other natural thiols are typically between 0.2 and 0.32 volts. Taken together, these two unique properties confer greater stability to l-ergothioneine under physiological conditions, making it less prone to auto-oxidative reactions than other antioxidant thiols such as glutathione.

Efficacy and Mechanism of L-Ergothioneine (EGT) (CAS 497-30-3)
① OCTN1 Transporter
The operation of l-ergothioneine in organisms depends on a special transporter OCTN1 (organic cation transporter N1, product of the SLC22A4 gene), OCTN1 exists in keratinocytes and melanocytes and has a high affinity for ergothioneine, so skin tissue and cells can easily accept, absorb, and fully utilize l-ergothioneine. Through OCTN1 existing on the cell membrane and mitochondrial membrane, l-ergothioneine is transported to the main "foci" of free radical production in cells - mitochondria, protecting mitochondria from oxidative damage and directly scavenging active oxygen free radicals to achieve delay in the human body. The ultimate goal of cellular aging.

② Antioxidant
Fibroblasts are the most common cells in connective tissue, with vigorous functional activities and can secrete structural proteins that constitute the extracellular matrix, which are closely related to the aging process of the skin. L-Ergothioneine protects human fibroblasts and enhances their viability by reducing the degradation of matrix metalloproteinase-1 (MMP-1) and increasing the production of type I collagen; inhibits UVA-induced reactive oxygen species in fibroblasts Free radical production, activation of transcription factor AP-1; simultaneous upregulation of Nrf2 factor (a basic leucine zipper protein that acts as a transmitter of oxidative and electrophilic stress responses and inhibits genomic instability) in fibroblasts The nuclear translocation of Nrf2 induces antioxidant gene expression and glutathione production in UVA-irradiated fibroblasts. Glutathione is an abundant non-protein thiol in cells and acts as an antioxidant to protect cells from reactive oxygen species free radicals, and the effect of l-ergothioneine on glutathione levels in fibroblasts means that it is not just a A potent antioxidant and a powerful antioxidant inducer.

③ Anti-inflammatory and other chronic diseases
L-Ergothioneine has been shown to inhibit NFkβ (nuclear transcription factor kβ) activation and UVB irradiation-induced upregulation of TNF-α (tumor necrosis factor-α); prevent TNF-α-mediated inflammatory cells in epithelial cells Activation and increase the factors IL-8 (interleukin-8) and IL-6 (interleukin-6); and by activating the p38 and JNK signaling pathways to prevent cell death caused by free fatty acids, thereby resisting inflammation and even efficacy in chronic diseases.

Hubei Magic Health Technology Co., Ltd is established in 2021, jointly funded by Hangzhou Zhongmei Huadong Medicine Co., Ltd, Zhejiang Huida Biotech Co., Ltd, and Angel Yeast Co., Ltd.
● Specializing in the R&D and manufacturing of nutraceutical food raw materials and personal care functional raw materials based on microbial technology.
● Located in Biological Industrial Park, Xiaoting District, Yichang City, Hubei, China. Total covered area: 148,000㎡, total construction area: 164,000㎡ , total planned investment: 1.16 billion RMB(for three phases.
● It has given full play to the sources and advantages of the three shareholders in product R&D, technological innovation, manufacturing, quality certification and other aspects, and is committed to being an "industrialized, large-scale and international" technical innovation company with the comprehensive health industry being the backbone force.

R & D
- Development and Research on Microbial Sources of International Frontier Health Products
- Focuses on the development, research and technological upgrading of major health-related products, with nearly 40 reserve projects.
- Obtained and applied for a number of international and domestic patent research and development achievements.
- Covering large health products strain selection, fermentation engineering, purification and separation, instrument analysis, quality research, terminal application research
Research direction:
1. Major health areas: vitamin K2, PQQ, hyaluronic acid, etc;
2. Protection areas: Icodoin, hyaluronic acid, ergothioneine, etc;
3. Technical cooperation.

FAQ of Magic Health Technology
Q1. Are you a manufacturer or trading company?
We are a manufacturer that owns factories both in Hubei Province. They cover an area of about 323 mu. You are warmly welcome to visit us!
Q2. What are your payment terms and types?
Payment Type: L/C, T/T, D/P, OA, Paypal, Western Union.
Q3. We don’t know you at all, how can we trust you?
You are always warmly welcome to visit us at any time. Before we start B2B, Chemball has audited our company and approved our credit. Commitment is the No.1 Point of our Enterprise’s Value.
Q4. How to contact us?
Contact us by Chemball page, email, mobile phone, or any way you like! We will try our best to respond ASAP!