On Chemball
My Chemball
+86-571-8627 3270
Shaanxi Dasheng Pharmaceutical Tech Co., Ltd.
Shaanxi Dasheng Pharmaceutical Tech Co., Ltd.
Main Products:
Topiramate / Alendronate Sodium Trihydrate / Imatinib Mesylate / Aceclofenac / Procaterol Hydrochloride Hemihydrate / Calcium Gluconate Monohydrate / Glycerol / Nitroglycerin / Chlorhexidine Diacetate / Sodium Phosphonatoformate Hexahydrate / Chlorhexidine Hydrochloride / Bicalutamide
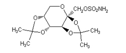
Topiramate / CAS 97240-79-4
- Overview
- Descriptions
- Sample
