Chitosan
Product introduction:
Chitosan is the second most abundant biopolymer in nature after cellulose. It is widely distributed. It is mainly distributed in the shells of many lower animals, especially arthropods such as shrimp, crab and insects. It also exists in the cell walls of lower plants such as bacteria, algae and fungi.
CAS:9012-76-4
Molecular Formula:C6H11NO4X2
Molecular Weight:161.16
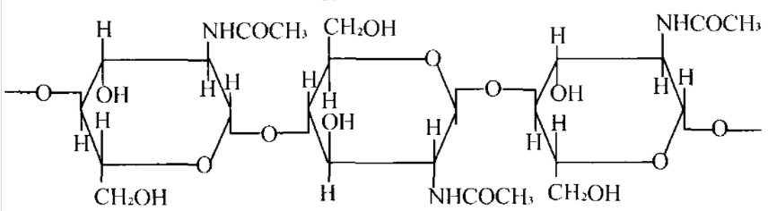
Structure:
Chemical property:
Chitin mainly refers to chitosan, also known as chitosan, deacetylated chitin, deacylated chitin, soluble chitin and soluble chitin. Amorphous solid, specific rotation[ α] D11—3°~+10°。 Almost insoluble in water, but soluble in organic acids such as formic acid, acetic acid, benzoic acid and naphthenic acid and dilute inorganic acids. Industrial products are white or grayish white translucent sheet-like solids with a slight pearl luster. Tasteless, non-toxic and easy to degrade, it is a rare natural cationic polyelectrolyte. A polysaccharide obtained by removing the acetyl group on the chitin sugar group by strong alkali hydrolysis or enzyme liberation. It can be dissolved in low acidity aqueous solution, has good biocompatibility, has no antigenicity and is insoluble in human body liquid. It is obtained from chitin in the shell of low animals and plants widely existing in nature, such as arthropods (shrimp and crab), through deacetylation reaction by adding alkali and heating.
Product purpose:
It is mainly used in food, medicine, agricultural seeds, daily chemical industry, industrial wastewater treatment and other industries. Chitosan oligosaccharide has the functions of improving immunity, activating cells, preventing cancer, reducing blood lipid, lowering blood pressure, anti-aging and regulating the body environment. It can be used in the fields of medicine, health care and food. In the field of environmental protection, chitosan can be used in sewage treatment, protein recovery, water purification and so on. In the field of functional materials, chitosan can be used as membrane materials, carriers, adsorbents, fibers, medical materials, etc. In the field of light textile, chitosan can be used in fabric finishing, health underwear, papermaking additives and so on. In the field of agriculture, it can be used for feed addition, seed treatment, soil improvement, fruit preservation, etc. In the field of tobacco, chitosan is a tobacco flake adhesive with good performance, and has the characteristics of improving taste, non-toxic combustion and no peculiar smell.
It can be used as thickener, stabilizer, gelling agent and binder.
It is mainly used in food, medicine, agricultural seed, daily chemical industry, industrial wastewater treatment and other industries.
IUPAC
methyl N-[(2S,3R,4R,5S,6R)-5-[(2S,3R,4R,5S,6R)-3-amino-5-[(2S,3R,4R,5S,6R)-3-amino-5-[(2S,3R,4R,5S,6R)-3-amino-5-[(2S,3R,4R,5S,6R)-3-amino-5-[(2S,3R,4R,5S,6R)-3-amino-5-[(2S,3R,4R,5S,6R)-3-amino-4,5-dihydroxy-6-(hydroxymethyl)oxan-2-yl]oxy-4-hydroxy-6-(hydroxymethyl)oxan-2-yl]oxy-4-hydroxy-6-(hydroxymethyl)oxan-2-yl]oxy-4-hydroxy-6-(hydroxymethyl)oxan-2-yl]oxy-4-hydroxy-6-(hydroxymethyl)oxan-2-yl]oxy-4-hydroxy-6-(hydroxymethyl)oxan-2-yl]oxy-2-[(2R,3S,4R,5R,6S)-5-amino-6-[(2R,3S,4R,5R,6R)-5-amino-4,6-dihydroxy-2-(hydroxymethyl)oxan-3-yl]oxy-4-hydroxy-2-(hydroxymethyl)oxan-3-yl]oxy-4-hydroxy-6-(hydroxymethyl)oxan-3-yl]carbamate
SMILES
COC(=O)N[C@@H]1[C@H]([C@@H]([C@H](O[C@H]1O[C@@H]2[C@H](O[C@H]([C@@H]([C@H]2O)N)O[C@@H]3[C@H](O[C@H]([C@@H]([C@H]3O)N)O)CO)CO)CO)O[C@H]4[C@@H]([C@H]([C@@H]([C@H](O4)CO)O[C@H]5[C@@H]([C@H]([C@@H]([C@H](O5)CO)O[C@H]6[C@@H]([C@H]([C@@H]([C@H](O6)CO)O[C@H]7[C@@H]([C@H]([C@@H]([C@H](O7)CO)O[C@H]8[C@@H]([C@H]([C@@H]([C@H](O8)CO)O[C@H]9[C@@H]([C@H]([C@@H]([C@H](O9)CO)O)O)N)O)N)O)N)O)N)O)N)O)N)O